Đại hội đồng cổ đông bất thường SSI: 9 tháng hoàn thành 94% kế hoạch, thông qua tăng vốn lên gần 25.000 tỷ đồng
Công ty cổ phần Khoáng sản công nghiệp Yên Bái (YBM) thông báo chào bán cổ phiếu ra công chúng (Kỳ 3) 26/11/2025 08:00
Công ty cổ phần Khoáng sản công nghiệp Yên Bái (YBM) thông báo chào bán cổ phiếu ra công chúng (Kỳ 2) 25/11/2025 08:00
Công ty cổ phần Khoáng sản công nghiệp Yên Bái (YBM) thông báo chào bán cổ phiếu ra công chúng (Kỳ 1) 24/11/2025 08:19
Nông nghiệp Hòa Phát (HPA) thông báo chào bán 30 triệu cổ phiếu lần đầu ra công chúng (Kỳ 3) 23/11/2025 08:00
Nông nghiệp Hòa Phát (HPA) thông báo chào bán 30 triệu cổ phiếu lần đầu ra công chúng (Kỳ 2) 22/11/2025 08:00
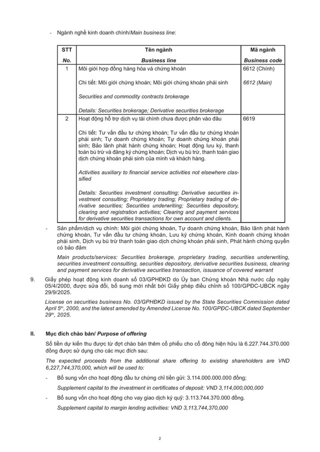
Công ty Cổ phần Chứng khoán Vietcap (VCI) thông báo về việc chào bán 20 mã Chứng quyền có bảo đảm (CW) - Đợt 1 năm 2025 (Kỳ 3) 22/11/2025 08:00
Nông nghiệp Hòa Phát (HPA) thông báo chào bán 30 triệu cổ phiếu lần đầu ra công chúng (Kỳ 1) 21/11/2025 08:00
Công ty Cổ phần Chứng khoán Vietcap (VCI) thông báo về việc chào bán 20 mã Chứng quyền có bảo đảm (CW) - Đợt 1 năm 2025 (Kỳ 1) 20/11/2025 16:43
Công ty Cổ phần Chứng khoán Vietcap (VCI) thông báo về việc chào bán 20 mã Chứng quyền có bảo đảm (CW) - Đợt 1 năm 2025 (Kỳ 2) 21/11/2025 08:00
Tổng công ty Đầu tư phát triển Nhà và Đô thị Nam Hà Nội (HOSE: NHA) thông báo chào bán thêm cổ phiếu ra công chúng (Kỳ 3) 16/11/2025 08:00
Công ty cổ phần Dược phẩm AgimexPharm (AGP) thông báo chào bán cổ phiếu ra công chúng (Kỳ 3) 16/11/2025 08:00
Tổng công ty Đầu tư phát triển Nhà và Đô thị Nam Hà Nội (HOSE: NHA) thông báo chào bán thêm cổ phiếu ra công chúng (Kỳ 2) 15/11/2025 08:00
Công ty cổ phần Dược phẩm AgimexPharm (AGP) thông báo chào bán cổ phiếu ra công chúng (Kỳ 2) 15/11/2025 08:00
Công ty Cổ phần Chứng khoán Vietcap (VCI) thông báo về việc chào bán 20 mã Chứng quyền có bảo đảm (CW) - Đợt 1 năm 2025 (Kỳ 3) 22/11/2025 08:00
Nông nghiệp Hòa Phát (HPA) thông báo chào bán 30 triệu cổ phiếu lần đầu ra công chúng (Kỳ 1) 21/11/2025 08:00
Công ty Cổ phần Chứng khoán Vietcap (VCI) thông báo về việc chào bán 20 mã Chứng quyền có bảo đảm (CW) - Đợt 1 năm 2025 (Kỳ 1) 20/11/2025 16:43
Nông nghiệp Hòa Phát (HPA) thông báo chào bán 30 triệu cổ phiếu lần đầu ra công chúng (Kỳ 3) 23/11/2025 08:00
Công ty Cổ phần Chứng khoán Vietcap (VCI) thông báo về việc chào bán 20 mã Chứng quyền có bảo đảm (CW) - Đợt 1 năm 2025 (Kỳ 2) 21/11/2025 08:00